Lompat ke konten Lompat ke sidebar Lompat ke footer

Soal Un Sma Bentuk Akar Dan Pembahasannya : Contoh Soal Un Bentuk Akar Dan Penyelesaiannya : Mehr als 200.000 maschinen sofort verfügbar.

Soal Un Sma Bentuk Akar Dan Pembahasannya : Contoh Soal Un Bentuk Akar Dan Penyelesaiannya : Mehr als 200.000 maschinen sofort verfügbar.. Tutorial peluang soal cerita menghitung peluang pengambilan bola matematika sma. Pembahasan soal un 2012 bentuk pangkat, akar dan logaritma. 10 sma menyederhanakan dan merasionalkan bentuk akar. Sofort kostenlos und ohne anmeldung anfragen Soal listening un bahasa inggris sma 2018 lengkap dengan video soal dan script pembahasan youtube.

Guru sd smp sma contoh soal bentuk akar dan pembahasannya kelas 10 smk. Pangkat operasi hitung eksponen sifat bentuk akar sifat bentuk pangkat un matematika ipa un matematika ips un matematika sma. Materi 1 bilangan bentuk pangkat, akar, dan logaritma sebelum mencoba mengerjakan soal atau mendownload pembahasannya maka perlu dibaca dahulu materi yang berkaitan dengan bilangan bentuk pangkat, akar, dan logaritma. Soal yang diberikan di sini dikumpulkan dari berbagai sumber, tujuannya agar dapat digunakan untuk sobat idschool belajar dalam mempersiapkan ujian. Un 2006 bentuk sederhana dari adalah 18 24 18.

Soal Dan Pembahasan Un Eksponen Dan Logaritma Kumpulan Contoh Surat Dan Soal Terlengkap
Soal Dan Pembahasan Un Eksponen Dan Logaritma Kumpulan Contoh Surat Dan Soal Terlengkap from contoh123.com
Download soal usbn kimia 2021 dan pembahasannya pdf. Contoh soal dan pembahasan tentang bentuk akar contoh soal dan pembahasan tentang merasionalkan bentuk akar contoh soal dan pembahasan tentang penjumlahan bentuk akar. Sifat sifat logaritma nah kini saatnya ke sesi contoh soal dan pembahasan mari kita simak baik baik. Kumpulan soal bentuk pangkat akar dan logaritma yang diberikan disini telah dilengkapi dengan pembahasannya. Os2kangkung soal dan pemb un matematika bab bentuk pangkat akar dan logaritma matematika belajar kiat belajar. Os2kangkung soal dan pemb un matematika bab bentuk pangkat akar dan logaritma matematika belajar buku. By posted on march 19 2020. Pembahasan soal un 2012 bentuk pangkat, akar dan logaritma.

Eksponen, perpangkatan, & bentuk akar.

24 16 58 675 27 48. Soal soal berikut masing masing telah disediakan pembahasannya. Soal listening un bahasa inggris sma 2018 lengkap dengan video soal dan script pembahasan youtube. Contoh soal bab trigonometri dan pembahasannya karinaelfa. Contoh soal pembahasan bentuk pangkat posted on 19082014 07032016 by admin berikut saya sajikan soal dan pembahasan bentuk pangkat baik pilihan ganda dan essay yang dilengkapi dengan pembahasannya untuk sumber aslinya. Os2kangkung soal dan pemb un matematika bab bentuk pangkat akar dan logaritma matematika belajar buku. Misalnya 2 4 2 x 2 x 2 x 2 16. Contoh soal dan pembahasan materi tentang logaritma kelas 10 pdf. Transformasikanlah bentuk pangkat tersebut dalam bentuk logaritma seperti berikut ini. Materi bab ini sangat sering keluar pada ujian nasional sbmptn dan utbk. Soal yang diberikan di sini dikumpulkan dari berbagai sumber, tujuannya agar dapat digunakan untuk sobat idschool belajar dalam mempersiapkan ujian. Gambarlah grafik fungsi eksponen f x 2 x dengan x r. Sma beim führenden marktplatz für gebrauchtmaschinen kaufen.

Sobat semua harus mulai mempersiapkan diri terutama buat yang duduk di sekolah menengah atas. 24 16 58 675 27 48. Bentuk pangkat akar dan logaritma kelas 10. Hitung dan sederhanakan bentuk akar berikut ini: Pembahasan un sma tahun pelajaran 2009/2010 matematika program studi ipa pembahas :

Pembahasan Soal Un Matematika Sma Program Ipa 2012 Paket D46 Zona D
Pembahasan Soal Un Matematika Sma Program Ipa 2012 Paket D46 Zona D from data03.123doks.com
Misalnya 2 4 2 x 2 x 2 x 2 16. Guru sd smp sma contoh soal bentuk akar dan pembahasannya kelas 10 smk. Soal un dan pembahasan matematika kelas 12. Haloo, kali ini batas ketik akan share contoh soal bentuk akar dan pembahasannya. 10 sma menyederhanakan dan merasionalkan bentuk akar. Jawaban lengkap dari soal un dan sbmptn. Yuk simak pembahasannya di bawah ini. Namun, sebelum ke contoh soalnya, apa kalian sudah memahami materi tentang bentuk akar matematika ?

Contoh soal pangkat, akar, dan logaritma pilihan ganda +pembahasan contoh soal logaritma akar dan pangkat | kumpulan soal pelajaran 7 contoh soal logaritma akar dan pangkat | kumpulan soal pelajaran 7 kak hady berbagi:

Silakan bertanya di kolom komentar apabila ada pembahasan yang kurang jelas. Pembahasan un sma tahun pelajaran 2009/2010 matematika program studi ipa pembahas : Sma beim führenden marktplatz für gebrauchtmaschinen kaufen. Contoh soal bentuk akar dan pembahasannya. Soal soal berikut masing masing telah disediakan pembahasannya. Sifat sifat logaritma nah kini saatnya ke sesi contoh soal dan pembahasan mari kita simak baik baik. Operasi bilangan bulat soal un dan pembahasan operasi bilangan pecahan soal un dan pembahasan operasi bilangan bentuk akar soal un dan pembahasan dapatkan pembahasan soal dalam file pdf di sini. Pangkat operasi hitung eksponen sifat bentuk akar sifat bentuk pangkat un matematika ipa un matematika ips un matematika sma. Misalnya 2 4 2 x 2 x 2 x 2 16. Contoh soal pembahasan bentuk pangkat posted on 19082014 07032016 by admin berikut saya sajikan soal dan pembahasan bentuk pangkat baik pilihan ganda dan essay yang dilengkapi dengan pembahasannya untuk sumber aslinya. Soal un dan pembahasan matematika kelas 12. Contoh soal dan pembahasan tentang eksponen sma, contoh soal dan pembahasan tentang sifat eksponen sma, contoh soal dan pembahasan tentang pertidaksamaan eksponen sma, contoh soal dan pembahasan tentang persamaan eksponen sma,. Tutorial peluang soal cerita menghitung peluang pengambilan bola matematika sma.

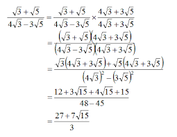
Materi 1 bilangan bentuk pangkat, akar, dan logaritma sebelum mencoba mengerjakan soal atau mendownload pembahasannya maka perlu dibaca dahulu materi yang berkaitan dengan bilangan bentuk pangkat, akar, dan logaritma. Soal soal berikut masing masing telah disediakan pembahasannya. Karena penyebut masih dalam bentuk akar, maka dikalikan. A) √2 + 3√2 + 5√2. Kumpulan soal akar pangkat dan logaritma kelas x.

Contoh Soal Un Bentuk Akar Dan Penyelesaiannya
Contoh Soal Un Bentuk Akar Dan Penyelesaiannya from 3.bp.blogspot.com
Pembahasan soal ujian nasional (un) sma bidang studi matematika ipa untuk pokok bahasan persamaan dan pertidaksamaan eksponen. Tutorial peluang soal cerita menghitung peluang pengambilan bola matematika sma. Sesuai dengan definisinya, eksponen mengandung bentuk perpangkatan dan akar. Contoh soal bentuk akar dan pembahasannya. Contoh soal bab trigonometri dan pembahasannya karinaelfa. Soal dan pembahasan bentuk pangkat akar dan logaritma pdf. Berikut mathematics4us menguraikan materi eksponensial dan logaritma. Jawaban lengkap dari soal un dan sbmptn.

Silakan download soalnya dalam bentuk pdf di sini.

Os2kangkung soal dan pemb un matematika bab bentuk pangkat akar dan logaritma matematika belajar buku. Pembahasan soal ujian nasional sma/ma tahun pelajaran 2011/2012 kompetensi pangkat, akar dan logaritma. Gambarlah grafik fungsi eksponen f x 2 x dengan x r. Silakan bertanya di kolom komentar apabila ada pembahasan yang kurang jelas. Karena penyebut masih dalam bentuk akar, maka dikalikan. Bentuk pangkat akar dan logaritma kelas 10. Kumpulan soal akar pangkat dan logaritma kelas x. Pangkat operasi hitung eksponen sifat bentuk akar sifat bentuk pangkat un matematika ipa un matematika ips un matematika sma. Mehr als 200.000 maschinen sofort verfügbar. Sofort kostenlos und ohne anmeldung anfragen Transformasikanlah bentuk pangkat tersebut dalam bentuk logaritma seperti berikut ini. Jawaban lengkap dari soal un dan sbmptn. Contoh soal pembahasan bentuk pangkat posted on 19082014 07032016 by admin berikut saya sajikan soal dan pembahasan bentuk pangkat baik pilihan ganda dan essay yang dilengkapi dengan pembahasannya untuk sumber aslinya.

Posting Komentar untuk "Soal Un Sma Bentuk Akar Dan Pembahasannya : Contoh Soal Un Bentuk Akar Dan Penyelesaiannya : Mehr als 200.000 maschinen sofort verfügbar."